Highlights
Glimpses of my research work




Room temperature ferrimagnetism in Yb-doped relaxor ferroelectric PFWO
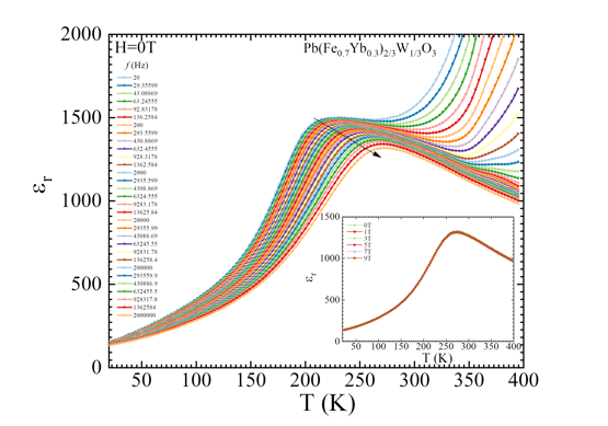
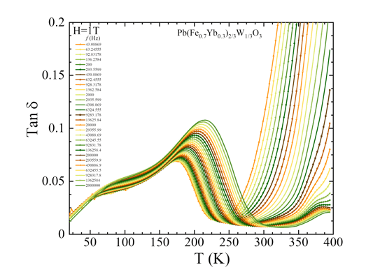
We report ferrimagnetism and reentrant relaxor ferroelectricity near room temperature in a Yb-doped PbFe2/3W1/3O3 cubic perovskite. Structural analysis reveals the presence of a single cubic perovskite phase, with the Fm3m space group [lattice parameter: a= 8.0112 (3) Å], and partial B-site ordering. The B-site ordering yields uncompensated magnetic moments in the antiferromagnetic structure of PbFe2/3W1/3O3 and ferrimagnetism near room temperature. An excess moment of∼ 0.6 μB/B-site may be estimated from magnetic hysteresis curves recorded up to 50 kOe at 5 K. The temperature-dependent magnetodielectric study reveals a sequential phase transition from a long-range ferroelectric state (across 280 K) to a short-range relaxor ferroelectric state (across 190 K). The long-range ferroelectric ordering is found to be more affected by the application of external magnetic fields than the relaxor phase.






Random fields and apparent exchange bias in the dilute Ising antiferromagnet Fe0.6Zn0.4F2
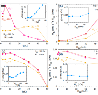
Random field induced spontaneous excess moments appear in field cooled single crystals of diluted Ising antiferromagnets. Here we report results from low temperature measurements of field cooled (including zero field) magnetic hysteresis loops parallel and perpendicular to the c-axis of a single crystal of composition Fe0.6Zn0.4F2. We find that weak static ferromagnetic excess moments attained on field cooling give rise to an apparent exchange bias of the magnetic hysteresis loops, whose magnitude is controlled by temperature and the strength and direction of the cooling field. Random field induced temporal excess moments only become observable in cooling fields larger than 1 T applied along the c-axis direction of the Fe0.6Zn0.4F2 single crystal.






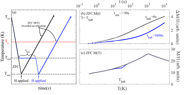
Memory and rejuvenation in a quasicrystal
The glassy features of a single crystal of the icosahedral quasicrystal i-GdCd7.5 were investigated by means of squid magnetometry. The temperature-dependent zero-field–cooled magnetization was recorded on re-heating from low temperatures after halts in the cooling. The results evidence dynamical features akin to those of archetypal spin glasses, such as aging, memory, and rejuvenation. The results are compared to those of model spin glasses with different spin dimensionality, suggesting a qualitative similarity to the behaviour of metallic RKKY" Heisenberg" spin glasses.
Contact details:
Exploring advanced materials for next-generation technologies.
📧 email: deepchandra.joshi@iiitbhopal.ac.in and djoshi835@gmail.com